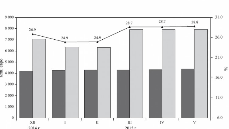
През май делът на държавния дълг от брутния вътрешен продукт (БВП) се покачва минимално до 28,8%, показват данните в актуалния месечен бюлетин на Министерството на финансите (МФ).
Към края на 2014 г. показателят беше достигнал 27,1% при 17,9% в края на 2013 г. и 28,7% в края на април. За 2015 г. финансовото министерство предвижда ръст на държавния дълг до 29,7% от БВП.
В абсолютно изражение общите задължения на държавата възлизат на малко над 12,308 млрд. евро (24,07 млрд. лв.), показват данните на ведомството. Спрямо април дългът се увеличава с близо 5,5 млн. евро поради емитирането на държавни облигации на вътрешния пазар.
Само външният дълг е за 7,922 млрд. евро (15,49 млрд. лв.), като бележи повишение с 2,5 млн. евро за месец, дължащо се на получени траншове по вече сключени заемни споразумения. Вътрешните задължения са в размер на 4,385 млрд. евро (8,577 млрд. лв.).
Нивото на външния дълг остава 18,5% от БВП, колкото беше и месец по-рано. Делът на вътрешните задължения бележи минимално увеличение с 0,1 процентен пункт до 10,3 на сто.
В структурата на дълга относителният дял на вътрешния държавен дълг е 35,6%, а на външния – 64,4%, показват още изчисленията на Министерството. Освен това към края на май валутната структура на държавния дълг има следните стойности: 78,3% е в евро, 20,6% - в левове, 0,4% - в щатски долари, и 0,7% в други валути.
От началото на годината по вътрешния държавен дълг са изплатени общо 62,06 млн. евро (121,369 млн. лв.) лихви и отстъпки. С най-голям относителен дял са платените лихви по държавни ценни книжа (ДЦК) с матуритет 10 години и 6 месеца – 30,2%, следвани от тези със срок 10 години – 20,3%, 7 години – 18,7%, 15 години – 14,8%, 5 години – 13,5%, 3 години – 1,3%, и 2 години и 6 месеца – 1,2%, сочат още данните.
За периода януари-май 2015 г. са осъществени плащания по външния дълг в размер на 2,53 млрд. евро (4,94 млрд. лв.), в това число 2,45 млрд. евро (4,783 млрд. лв.) по главници и 79,63 млн. евро (155,736 млн. лв.) по лихви. Във валутната композиция на плащанията от началото на годината най-съществен е делът на тези в евро - 59,4%, следван от тези в щатски долари - 36,2%, и в лева - 4,4%.
Отделно само през май са осъществени плащания по държавния дълг в размер на 25,41 млн. евро (49,7 млн. лв.).
Вследствие на извършени погашения по външните държавногарантирани заеми общият размер на държавногарантирания дълг намалява с приблизително 8,3 млн. евро спрямо април. Така в края на май той достига 320,3 млн. лв. евро. 23,7 млн. евро от тях са вътрешните държавни гаранции – толкова, колкото са от ноември 2014 г. насам. Съотношението държавногарантиран дълг към БВП обаче се понижава до 0,7% за пръв път от ноември, откогато е 0,8%.
Извършените от началото на годината плащания по държавногарантирания дълг са в размер на 31,6 млн. евро (61,801 млн. лв.), като 28,72 млн. евро (56,164 млн. лв.) от тях са погашения по главници и 3,91 млн. евро (7,64 млн. лв.) по лихви.
По силата на чл. 18 от Закона за държавния дълг държавногарантираният дълг представлява всички финансови задължения, за които Министерският съвет е издал гаранции от името и за сметка на държавата при спазване изискванията на Конституцията. На вътрешния пазар държавата дава гаранции по силата на Закона за студентското кредитиране, а по външните задължения – за проекти към Световната банка, Европейската инвестиционна банка, Европейската банка за възстановяване и развитие и други.

Забранената любов на принцеса Маргарет: Как щеше да загуби всичко
Централна емисия
Централна емисия
Сияеща метеорна следа „фотобомбардира“ кометата Lemmon в невероятни кадри от телескоп
Astrobotic отложи изстрелването на лунната сонда Griffin-1 за средата на 2026 г.
Светът е на крачка от откриването на ваксина срещу рака
Исторически момент: Ще „хванем“ парче от комета
За втори път Лудогорец допуска пет гола в елита
Секси тенисистка омайва от Малдивите + СНИМКИ
Феноменален мач! ЦСКА 1948 се изгаври с Лудогорец, но едва не пропиля победата след 5:1
ВИДЕО: ЦСКА - Берое
Нумерологична прогноза за месец ноември
Sabaton, Savatage, Epica и Sevi влизат в Be4 HILLS
13 маникюра, идеални за Хелоуин (+Снимки)
Рецепта за вегетарианци: Печено червено цвекло с розмарин
Ново лечение прави клетката капан за херпес симплекса
Сладките картофи – съюзник на сърцето и полезни за кожата
Плеврален излив – на какво може да се дължи?
Отразява ли се пълнолунието на съня ни?
Партията на Хавиер Милей спечели с повече от очакваното на изборите в Аржентина
Жилищата в София поскъпват преди Еврозоната?
Розенбах: Националният ни интерес не е в трафика на дрога от Венецуела
От дървото до карбона: Чудната история на автомобилните каросерии
Меган Фокс блесна в „кървава“ рокля 7 месеца след като роди четвъртото си дете
Седмичен любовен хороскоп 27 октомври - 2 ноември
Коментари